Bisfosfoglycerát
Z Multimediaexpo.cz
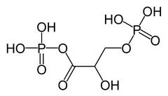
Bisfosfoglycerát (BPG) je jakýkoliv derivát organické kyseliny glycerátu vzniklý navázáním dvou zbytků kyseliny fosforečné na libovolné uhlíkové pozice. Existují tři polohové varianty:
- 1,3-bisfosfoglycerát – jedna z organických kyselin účastnících se glykolýzy, ale také např. Calvinova cyklu[1]
- 2,3-bisfosfoglycerát – je přítomen v červených krvinkách a váže se na neobsazený hemoglobin, čímž mění jeho afinitu ke kyslíku[1]
- 1,2-bisfosfoglycerát
Metabolismus
Mezi 1,3-bisfosfoglycerátem a 2,3-bisfosfoglycerátem je schopna převádět 2,3-BPG mutáza.
Reference
- ↑ 1,0 1,1 Oxford dictionary of biochemistry and molecular biology; revised edition. Příprava vydání R. Cammack et al. New York : Oxford university press, 2006. ISBN 0-19-852917-1.
| Náklady na energie a provoz naší encyklopedie prudce vzrostly. Potřebujeme vaši podporu... Kolik ?? To je na Vás. Náš FIO účet — 2500575897 / 2010 |
|---|
| Informace o článku.
Článek je převzat z Wikipedie, otevřené encyklopedie, do které přispívají dobrovolníci z celého světa. |

